ASCO 2024丨阿得贝利单抗联合治疗新突破:中国小细胞肺癌治疗迈入新纪元

作者:  王丽丹   日期:2024/6/5 11:34:41  浏览量:10008

肿瘤瞭望版权所有,谢绝任何形式转载,侵犯版权者必予法律追究。

近日,阿得贝利单抗联合化疗序贯胸部放疗的II期研究在ASCO大会上引起了广泛关注,其针对广泛期小细胞肺癌(ES-SCLC)的治疗成果尤为瞩目。该研究结果不仅显著延长了患者的无进展生存期和总生存期,更是刷新了免疫治疗药物一线治疗小细胞肺癌(SCLC)的生存纪录,且表现出良好的安全性。这一创新性的治疗策略为ES-SCLC患者带来了新的希望,标志着免疫治疗与放疗的联合应用在SCLC治疗领域迈出了重要一步。基于此,《肿瘤瞭望》特邀于金明院士分享该研究设计、重要成果及其对临床的指导意义等,现整理如下,供广大读者参考。

编者按:近日,阿得贝利单抗联合化疗序贯胸部放疗的II期研究在ASCO大会上引起了广泛关注,其针对广泛期小细胞肺癌(ES-SCLC)的治疗成果尤为瞩目。该研究结果不仅显著延长了患者的无进展生存期和总生存期,更是刷新了免疫治疗药物一线治疗小细胞肺癌(SCLC)的生存纪录,且表现出良好的安全性。这一创新性的治疗策略为ES-SCLC患者带来了新的希望,标志着免疫治疗与放疗的联合应用在SCLC治疗领域迈出了重要一步。基于此,《肿瘤瞭望》特邀于金明院士分享该研究设计、重要成果及其对临床的指导意义等,现整理如下,供广大读者参考。
 
01
《肿瘤瞭望》:今年ASCO大会上,由您中心开展的阿得贝利单抗联合化疗序贯胸部放疗一线治疗ES-SCLC的II期研究入选口头报告,请您谈谈开展该研究的背景和初衷?

于金明院士:免疫治疗的蓬勃发展给ES-SCLC患者带来新希望,化疗联合免疫治疗已成为ES-SCLC的一线治疗方案。IMpower133研究首次证实PD-L1抑制剂联合化疗可以显著改善ES-SCLC的生存,致使ES-SCLC的生存首次超过了1年,随后CASPIAN研究进一步验证了PD-L1抑制剂联合化疗在ES-SCLC中的疗效,但是两项研究中纳入亚裔患者比例非常有限。国内首个自主研发的PD-L1抑制剂阿得贝利单抗的上市,把中国ES-SCLC患者中位总生存期(mOS)带到了15个月以上。其III期临床研究CAPSTONE-1在国际顶级期刊《柳叶刀·肿瘤学》上发表,首次在中国ES-SCLC患者中验证了PD-L1抑制剂的卓越疗效。虽然免疫联合化疗一线治疗为ES-SCLC患者带来了长期生存的希望,但如何进一步提升疗效、扩大免疫治疗获益人群成为不断探索的新方向。放疗与免疫治疗在机制上有着良好的协同作用,在ES-SCLC免疫联合化疗的标准治疗基础上进一步联合放疗能否协同增效值得进一步探索!我们中心在开展阿得贝利单抗联合化疗序贯胸部放疗一线治疗ES-SCLC的II期研究前,曾从分子层面鉴定出了SCLC新的衰老相关亚型,且发现这一类型的ES-SCLC在放疗的介入下通过上调PD-L1的表达来介导免疫微环境的改变。因此,我们开展了这项临床试验来探索阿得贝利单抗联合化疗序贯胸部放疗一线治疗ES-SCLC患者的有效性和安全性。
 
图1.研究设计
 
02
《肿瘤瞭望》:请您谈谈该项研究方案及结果有哪些亮点?

于金明院士:首先,该研究是首个针对中国ES-SCLC患者免疫联合化疗序贯胸部放疗一线治疗的II期探索性研究,也是目前已公布结果的、样本量(N=67)最大的中国ES-SCLC免疫联合放疗治疗数据。
 
其次,本次研究放疗剂量分为两组,一组接受高剂量TRT(≥50Gy/25f),另一组接受低剂量TRT(≥30Gy/10f),以进一步探索ES-SCLC免疫联合化疗序贯胸部放疗的最佳放疗剂量。根据2023年ASTRO大会报道的研究数据来看,不同放射剂量组的中位无进展生存期(mPFS)没有显著性差异,但低剂量TRT可能为ES-SCLC患者带来进一步获益的趋势(mPFS:10.4个月vs 7个月)。
 
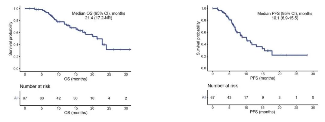
再者,研究结果尤为亮眼,研究结果显示ES-SCLC免疫治疗时代加入胸部放疗可使患者无论短期疗效(mPFS)还是长期疗效(mOS)都有显著的获益,mOS长达21.4个月,mPFS长达10.1个月,均刷新了免疫药物一线治疗ES-SCLC的生存纪录。此外,在客观缓解率(ORR),疾病控制率(DCR)方面也获得了优异的结果,同时具有良好的安全性(≥3级肺炎仅6%)。
 
这项研究是一个从基础向临床转化的范例,继去年荣登ASTRO大会口头报告后,又中选今年ASCO大会口头报告,得到了国内外同行的广泛关注和认可,也侧面反映出国外同行专家对中国原创研究的科学性和在SCLC治疗领域所做出贡献的认可。
 
图2.从诱导治疗起ITT人群的PFS和OS
 
03
《肿瘤瞭望》:阿得贝利单抗联合化疗序贯胸部放疗一线治疗ES-SCLC的II期研究数据结果令人惊艳,在免疫联合化疗基础上序贯胸部放疗为ES-SCLC进一步提升疗效和延长生存提供了重要的治疗策略参考。请您谈谈该研究结果对临床的指导意义?

于金明院士:SCLC具有侵袭性、快速生长、早期转移和易耐药的特点,早期有效的肿瘤控制对于SCLC至关重要。早年以传统化疗为主的治疗手段效果不佳,患者总生存期只有8~10个月。免疫治疗时代的到来推动了SCLC治疗的进步,但患者的总生存获益似乎已进入瓶颈期,如何进一步提升疗效成为亟待解决的新问题!而阿得贝利单抗联合化疗序贯胸部放疗一线治疗ES-SCLC的II期研究数据令人惊艳,mPFS长达10.1个月,mOS长达21.4个月,研究结果初步证实了ES-SCLC一线治疗中加入胸部放疗可以延缓SCLC原发耐药患者的复发时间,进而显著延长患者的总生存期,同时具有良好的安全性和可及性。
 
因此,阿得贝利单抗联合化疗序贯胸部放疗的联合治疗模式在ES-SCLC领域非常具有应用前景,有望进阶挑战更长生存获益,持续引领ES-SCLC免疫联合治疗新纪元,推动了SCLC更长生存时代的到来!

04
《肿瘤瞭望》:既往免疫联合化疗一线治疗ES-SCLC,中位总生存在15个月左右,本研究中放疗的加入进一步延长了患者总生存,请您谈谈放射治疗在SCLC患者的中临床应用价值?

于金明院士:放疗是与手术、化疗并列的三大抗肿瘤治疗手段之一,在SCLC的综合治疗中,放疗发挥着非常重要的作用,特别是在ES-SCLC的治疗中。大型III期随机对照CREST研究显示,对于化疗后达到缓解的患者,增加放疗可进一步改善PFS和OS。
 
此外,SCLC有一点较为特殊,其对于免疫治疗的应答比例有待进一步提高,这可能与SCLC的生物学特征有关,例如PD-L1的表达水平较低,或免疫微环境中存在的免疫抑制因素等。而放疗与免疫治疗的结合,在目前的临床前研究和II期探索性研究中都被证实:放疗可上调PD-L1的表达,改善肿瘤免疫微环境,使更多的免疫细胞聚集在肿瘤免疫微环境中,将“冷肿瘤”变为“热肿瘤”。因此,放疗与免疫的结合将有机会进一步提高SCLC治疗中免疫治疗的有效率。
 
05
《肿瘤瞭望》:未来免疫治疗与放射治疗的联合在SCLC领域有哪些新的探索方向?

于金明院士:针对SCLC领域,放疗、放化疗与免疫治疗的联合模式仍有很大的优化空间。对于不同分期的SCLC患者,最佳联合治疗模式、治疗剂量的确定是未来研究的重要方向。其次,放疗与免疫治疗联用的治疗策略也需要寻找最佳获益人群和影响预后的生物标志物。最后,目前放疗联合免疫治疗的研究大多基于光子放疗,而更先进的放疗技术(如质子或重离子等射线照射)对免疫微环境的影响与光子照射是否存在差别,新型放疗技术与免疫治疗的结合模式及应用前景也极具探索意义。
 
于金明院士
山东省肿瘤医院院长
中国工程院院士、医学博士、博士生导师
中共十七大党代表、全国劳动模范
全国第十、十二、十三、十四届人大代表
山东第一医科大学(省医科院)名誉校(院)长
中国临床肿瘤学会候任理事长
中国抗癌协会肿瘤多学科诊疗(MDT)专业委员会主任委员
山东省抗癌协会理事长
山东省临床肿瘤学会理事长
山东省院士专家联合会会长
山东省高层次人才促进会会长
中华肿瘤防治杂志等多家杂志主编或副主编

 

本内容仅供医学专业人士参考


小细胞肺癌

分享到: 更多